The Cybernetic Teammate
Length: • 6 mins
Annotated by Jeff Keltner
Having an AI on your team can increase performance, provide expertise, and improve your experience
Over the past couple years, we have learned that AI can boost the productivity of individual knowledge workers ranging from consultants to lawyers to coders. But most knowledge work isn’t purely an individual activity; it happens in groups and teams. And teams aren't just collections of individuals – they provide critical benefits that individuals alone typically can't, including better performance, sharing of expertise, and social connections.
So, what happens when AI acts as a teammate? This past summer we conducted a pre-registered, randomized controlled trial of 776 professionals at Procter and Gamble, the consumer goods giant, to find out.
We are ready to share the results in a new working paper: The Cybernetic Teammate: A Field Experiment on Generative AI Reshaping Teamwork and Expertise. Given the scale of this project, it shouldn’t be a surprise that this paper was a massive team effort coordinated by the Digital Data Design Institute at Harvard and led by Fabrizio Dell’Acqua, Charles Ayoubi, and Karim Lakhani, along with Hila Lifshitz, Raffaella Sadun, Lilach Mollick, me, and our partners at Procter and Gamble: Yi Han, Jeff Goldman, Hari Nair, and Stewart Taub.

We wanted this experiment to be a test of real-world AI use, so we were able to replicate the product development process at P&G, thanks to the cooperation and help of the company (which had no control over the results or data). To do that, we ran one-day workshops where professionals from Europe and the US had to actually develop product ideas, packaging, retail strategies and other tasks for the business units they really worked for, which included baby products, feminine care, grooming, and oral care. Teams with the best ideas had them submitted to management for approval, so there were some real stakes involved.
We also had two kinds of professionals in our experiment: commercial experts and technical R&D experts. They were generally very experienced, with over 10 years of work at P&G alone. We randomly created teams consisting of one person in each specialty. Half were given GPT-4 or GPT-4o to use, and half were not. We also picked a random set of both types of specialists to work alone, and gave half of them access to AI. Everyone assigned to the AI condition was given a training session and a set of prompts they could use or modify. This design allowed us to isolate the effects of AI and teamwork independently and in combination. We measured outcomes across multiple dimensions including solution quality (as determined by at least two expert judges per solution), time spent, and participants' emotional responses. What we found was interesting.
AI boosts performance
When working without AI, teams outperformed individuals by a significant amount, 0.24 standard deviations (providing a sigh of relief for every teacher and manager who has pushed the value of teamwork). But the surprise came when we looked at AI-enabled participants. Individuals working with AI performed just as well as teams without AI, showing a 0.37 standard deviation improvement over the baseline. This suggests that AI effectively replicated the performance benefits of having a human teammate – one person with AI could match what previously required two-person collaboration.

Teams with AI performed best overall with a 0.39 standard deviation improvement, though the difference between individuals with AI and teams with AI wasn't statistically significant. But we found an interesting pattern when looking at truly exceptional solutions, those ranking in the top 10% of quality. Teams using AI were significantly more likely to produce these top-tier solutions, suggesting that there is value in having human teams working on a problem that goes beyond the value of working with AI alone.

Both AI-enabled groups also worked much faster, saving 12-16% of the time spent by non-AI groups while producing solutions that were substantially longer and more detailed than those from non-AI groups.
Expertise boundaries vanish
Without AI, we saw clear professional silos in how people approached problems. R&D specialists consistently proposed technically-oriented solutions while Commercial specialists suggested market-focused ideas. When these specialists worked together in teams without AI, they produced more balanced solutions through their cross-functional collaboration (teamwork wins again!).
But this was another place AI made a big difference. When paired with AI, both R&D and Commercial professionals, in teams or when working alone, produced balanced solutions that integrated both technical and commercial perspectives. The distinction between specialists virtually disappeared in AI-aided conditions, as you can see in the graph. We saw a similar effect on teams.

This effect was especially pronounced for employees less familiar with product development. Without AI, these less experienced employees performed relatively poorly even in teams. But with AI assistance, they suddenly performed at levels comparable to teams that included experienced members. AI effectively helped people bridge functional knowledge gaps, allowing them to think and create beyond their specialized training, and helped amateurs act more like experts.
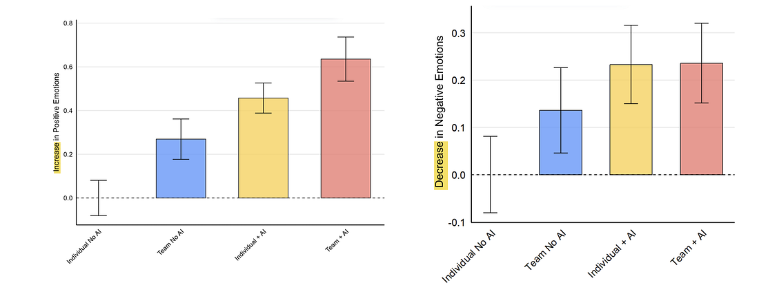
Working with AI led to better emotional experiences
A particularly surprising finding was how AI affected the emotional experience of work. Technological change, and especially AI, has often been associated with reduced workplace satisfaction and increased stress. But our results showed the opposite, at least in this case.

People using AI reported significantly higher levels of positive emotions (excitement, energy, and enthusiasm) compared to those working without AI. They also reported lower levels of negative emotions like anxiety and frustration. Individuals working with AI had emotional experiences comparable to or better than those working in human teams.
While we conducted a thorough study that involved a pre-registered randomized controlled trial, there are always caveats to these sorts of studies. For example, it is possible that larger teams would show very different results when working with AI, or that working with AI for longer projects may impact its value. It is also possible that our results represent a lower bound: all of these experiments were conducted with GPT-4 or GPT-4o, less capable models than what are available today; the participants did not have a lot of prompting experience so they may not have gotten as much benefit; and chatbots are not really built for teamwork. There is a lot more detail on all of this in the paper, but limitations aside, the bigger question might be: why does this all matter?
Why This Matters
Organizations have primarily viewed AI as just another productivity tool, like a better calculator or spreadsheet. This made sense initially but has become increasingly limiting as models get better and as recent data finds users most often employ AI for critical thinking and complex problem solving, not just routine productivity tasks. Companies that focus solely on efficiency gains from AI will not only find workers unwilling to share their AI discoveries for fear of making themselves redundant but will also miss the opportunity to think bigger about the future of work.
To successfully use AI, organizations will need to change their analogies. Our findings suggest AI sometimes functions more like a teammate than a tool. While not human, it replicates core benefits of teamwork—improved performance, expertise sharing, and positive emotional experiences. This teammate perspective should make organizations think differently about AI. It suggests a need to reconsider team structures, training programs, and even traditional boundaries between specialties. At least with the current set of AI tools, AI augments human capabilities. It democratizes expertise as well, enabling more employees to contribute meaningfully to specialized tasks and potentially opening new career pathways.
The most exciting implication may be that AI doesn't just automate existing tasks, it changes how we can think about work itself. The future of work isn't just about individuals adapting to AI, it's about organizations reimagining the fundamental nature of teamwork and management structures themselves. And that's a challenge that will require not just technological solutions, but new organizational thinking.